Študijsko gradivo je nastalo v času mojega študija na Fakulteti za elektrotehniko, računalništvo in informatiko,
Univerze v Mariboru. Objavljeno je na voljo vsem študentom in obiskovalcem.
Matematika I
Matematika II
Fizika I — Domače naloge
- Dinamika — 2. Newtonov zakon
- Gibalna količina — delo in energija
- Gibanje — krivo gibanje — kroženje
- Gibanje — poševni met
- Gibanje — premo gibanje
- Nihanje
- Statika — ravnovesje teles
- Tekočine
- Trenje in lepenje, težišče, prožnost
- Vrtenje
Fizika I — Vaje (z rešitvami)
Fizika II — Domače naloge
- Dopplerjev pojav
- Energija valovanja, glasnost
- Fotoefekt, rentgenska svetloba
- Fotometrija
- Interferenca, lomni zakon
- Jedro, masni defekt, vezavna energija
- Leče, optične naprave
- Optika — leče
- Valovanje
- Stoječe valovanje
- Uklon, lom, odboj, energija
- Zrcala
Fizika II — Vaje
Kolokviji (splošno)
Osnove elektrotehnike I
Kolokviji
- 1. kolokvij — skupina A (27.10.2011)
- 1. kolokvij — skupina A (30.10.2012)
- 3. kolokvij 12.01.2011
- Star kolokvij
Domače naloge (z rešitvami)
- DN1 — električna poljska jakost
- DN4 — kapacitivnost, kondenzatorji, vezja:
- DN5 — reševanje vezij, aktivni dvopol, vozlišča
- DN5.2 — temperaturna odvisnost upornosti
- DN6 — magnetna poljska jakost
Razno
Osnove elektrotehnike II
Meritve
- Vprašanja in odgovori (1.–3. kolokvij):
- Vaje:
- Domače naloge (2011):
- Merjenja — slike/izpeljave:
- Izpeljava enačbe za OO kot odštevalnik:
- Merjenje toka:
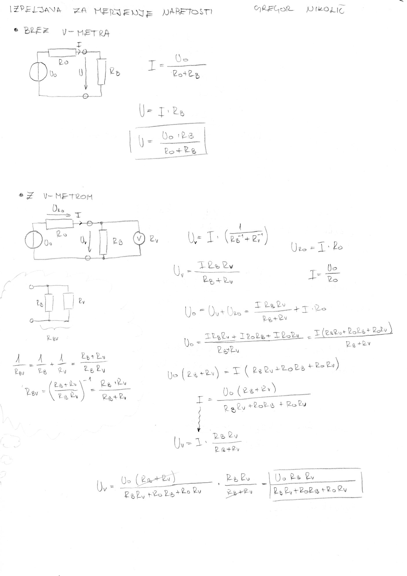
- Merjenje napetosti:
Internetne tehnologije
Računalništvo
Materiali in tehnologije
DN iz 1. sklopa laboratorijskih vaj
DN iz 2. sklopa laboratorijskih vaj
Elektronika I
- Program za četveropole:
- Diferenčni ojačevalnik (BJT)
- Kolokviji / izpit:
Gradniki elektronskih sistemov
- Dioda (delovna točka, ES/IS analiza)
- BJT (delovna točka, ES/IS analiza)
- Energijski nivoji
- Primer izpita 21.06.2010
- Različni primeri nalog (slike):
Vezja in signali
Meritve v elektroniki
Prenos signalov
Procesiranje signalov
Rezultati nalog (vaje & DN)
- 1. Naloga na vajah (12):
- 2. Naloga na vajah (19):
- 3. Naloga na vajah (22):
- 1. Domača naloga (15):
- 2. Domača naloga (21):
Simulacija vezij
Elektronika MAG — izbrano
- Elektronski elementi —
1. kolokvij 2010/2011 (z rešitvami) - Optoelektronika —
Izpiski snovi - Teorija EM polja —
Pomožno računalo za DN (XLSX)
